单分散PEG定制合成服务
碳水科技(Tanshtech)提供单分散聚乙二醇衍生物的定制合成,以及具有各种 MW 的多分散 PEG 试剂。联系我们获取定制合成服务。
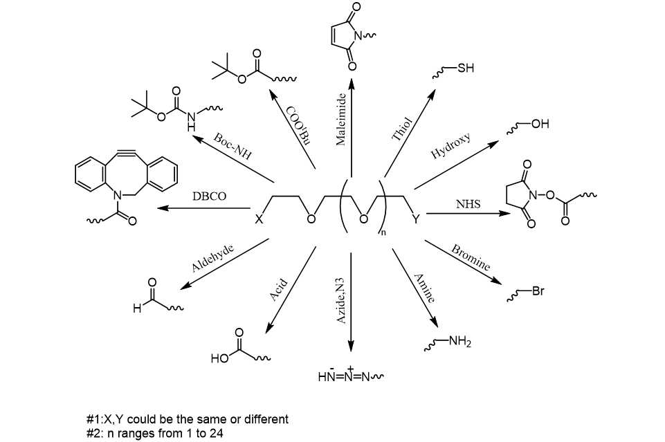
功能性单分散PEG化合物的定制合成

碳水科技(Tanshtech)提供单分散聚乙二醇衍生物的定制合成,以及具有各种 MW 的多分散 PEG 试剂。联系我们获取定制合成服务。
功能性单分散PEG化合物的定制合成

sales@tansh-tech.com
2147013750
13422103660