13422103660
sales@tansh-tech.com
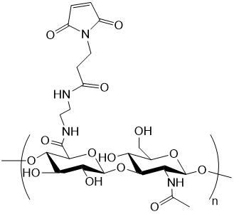
Functionalized HA
中文名称:马来酰亚胺修饰透明质酸
英文名称:Hyaluronate Mal (HA-Mal)
CAS NO:N/A
| 目录号 |
产品名称 |
分子量 |
规格 |
价格 |
| 81000440 |
Hyaluronate Mal (HA-Mal) |
HA:3k/5k/7k/10k/50k/100k/200k/300k/500k 其他分子量咨询客服 |
100mg |
请登录
|
| 81000440 |
Hyaluronate Mal (HA-Mal) |
HA:3k/5k/7k/10k/50k/100k/200k/300k/500k 其他分子量咨询客服 |
500mg |
请登录
|